RNNs¶
约 2807 个字 13 行代码 预计阅读时间 10 分钟
Abstract
NLP 里最常用、最传统的深度学习模型就是 循环神经网络 RNN(Recurrent Neural Network)。
RNN 有很多变种,其中最常用的就是 LSTM(Long Short-Term Memory) 和 GRU(Gated Recurrent Unit)。本文将介绍 RNN、LSTM 和 GRU 的原理。
概述 ¶
全连接神经网络 DNN 和 卷积神经网络 CNN,它们的前一个输入和后一个输入是没有关系的。当我们处理序列信息时,某些前面的输入和后面的输入是有关系的,比如:当我们在理解一句话的意思时,孤立的理解这句话的每个词是不够的,我们需要处理这些词连接起来的整个序列;这个时候我们就需要使用到循环神经网络(Recurrent Neural Network)。
RNN 在自然语言处理领域最先被使用起来,RNN 可以为语言模型进行建模:
我没有完成上级布置给我的任务,所以 被开除了
让电脑来填写下划线的词最有可能的是『我
语言模型就是这样的东西:给定一个一句话前面的部分,预测接下来最有可能的一个词是什么。
基本循环神经网络 ¶
基本的 RNN,结构由输入层、一个隐藏层和输出层组成。

- x 是输入向量
- o 是输出向量
- s 表示隐藏层的值
- U 是输入层到隐藏层的权重矩阵
- V 时隐藏层到输出层的权重矩阵
循环神经网络的隐藏层的值 s 不仅仅取决于当前这次的输入 x,还取决于上一次隐藏层的值 s。权重矩阵 W 就是隐藏层上一次的值作为这一次的输入的权重。
将上图的基本 RNN 结构在时间维度展开(RNN 是一个链式结构,每个时间片使用的都是相同的参数)

这个网络在 t 时刻接收到输入 \(x_t\) 之后,隐藏层的值是 \(s_t\),输出层的值是 \(o_t\),关键的是,\(s_t\) 的值不仅仅取决于 \(x_t\),还取决于 \(s_{t-1}\)。
- 公式 1 是隐藏层的计算公式,它是循环层。U 是输入 x 的权重矩阵,W 是 上一次隐藏层值 \(s_{t-1}\) 作为则一次的输入的权重矩阵,f 是激活函数。
- 公式 2 是输出层的计算公式,V 是输出层的权重矩阵,g 是激活函数。
- 隐藏层有两个输入,第一是 U 与 \(x_t\) 向量的乘积,第二是上一隐藏层输出的状态 \(s_{t-1}\) 与 W 的乘积。等于上一个时刻计算的 \(s_{t-1}\) 需要缓存一下,在本次输入 \(x_t\) 一起计算,共同输出最后的 \(o_t\)。
如果反复把公式 1 带入公式 2,可以得到:
从上面可以看出,循环神经网络的输出值,是受前面历次输入值 \(x_t、x_{t-1}、x_{t-2}、x_{t-3}、...\) 影响的,这就是为什么循环神经网络可以往前看任意多个输入值的原因。这样其实不好,因为如果太前面的值和后面的值已经没有关系了,循环神经网络还考虑前面的值的话,就会影响后面值的判断。
双向循环神经网络 ¶
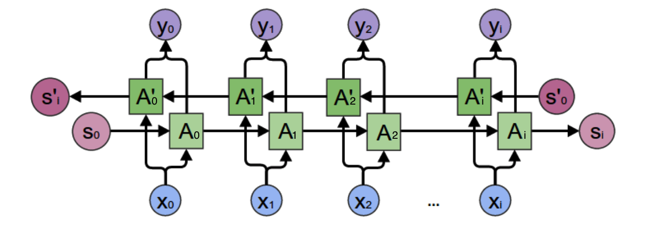
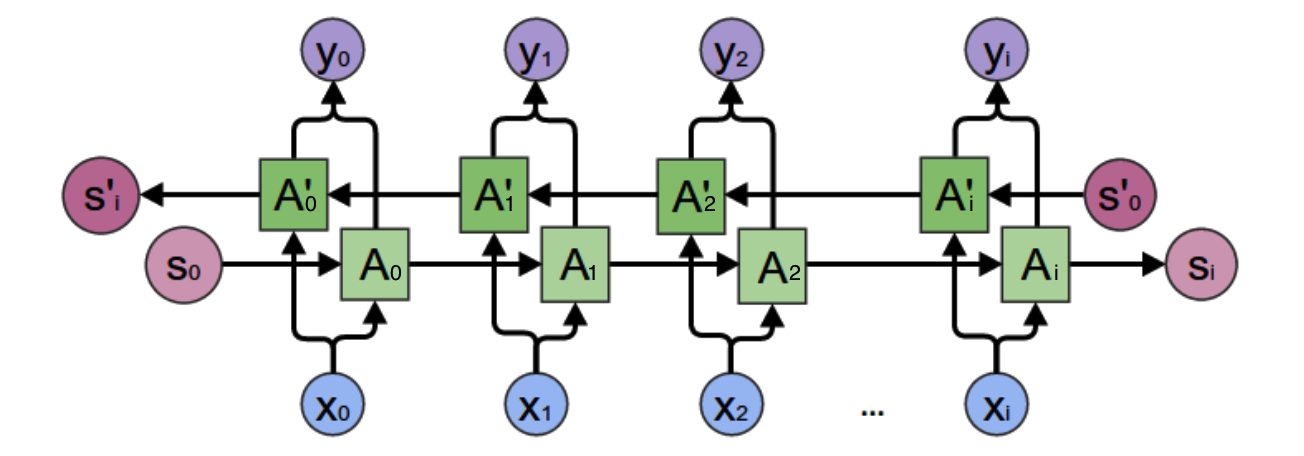
对于语言模型来说,很多时候光看前面的词是不够的,比如下面这句话:我的手机坏了,我打算 一部新的手机。 我们这个时候就需要双向循环神经网络。

从上图可以看出,双向循环神经网络的隐藏层需要保存两个值,一个 \(A\) 参与正向计算,另一个值 \(A^\prime\) 参与反向计算。最终的输出值 \(y_2\) 取决于 \(A_2\) 和 \(A_2^\prime\)。其计算方法为:
\(A_2\) 和 \(A_2^\prime\) 的计算方法为:
现在可以看出一般的规律:正向计算时,隐藏层的值 \(S_t\) 与 \(S_{t-1}\) 有关;反向计算时,隐藏层的值 \(S_t^\prime\) 与 \(S_{t+1}^\prime\) 有关;最终的输出取决于正向和反向计算的加和。现在,仿照公式 1 和公式 2,写出 BRNN 的计算公式:
从上面三个公式可以看到,正向计算和反向计算不共享权重,也就是说 \(U\) 和 \(U^\prime\)、\(W\) 和 \(W^\prime\)、\(V\) 和 \(V^\prime\) 是不同的权重矩阵。
梯度爆炸和梯度消失 ¶
上文介绍的几种 RNN 并不能很好地处理较长的序列,RNN 在训练中很容易发生梯度爆炸和梯度消失,这导致梯度不能在较长序列中一直传递下去,从而使 RNN 无法捕捉到长距离的影响。
通常来说,梯度爆炸更容易处理一些。因为梯度爆炸的时候,我们的程序会收到 NaN 错误。我们也可以设置一个梯度阈值,当梯度超过这个阈值的时候可以直接截取。
梯度消失更难检测,而且也更难处理一些。总的来说,我们有三种方法应对梯度消失问题:
1、合理的初始化权重值。初始化权重,使每个神经元尽可能不要取极大或极小值,以躲开梯度消失的区域。
2、使用 relu 代替 sigmoid 和 tanh 作为激活函数。
3、使用其他结构的 RNNs,比如长短时记忆网络(LTSM)和 Gated Recurrent Unit(GRU
长短期记忆网络 LSTM ¶
原始 RNN 的隐藏层只有一个状态,即 h,它对短期的输入非常敏感。那么如果我们再加一个门(gate)机制用于控制特征的流通和损失,即 c,让它来保存长期的状态,这就是长短时记忆网络(Long Short Term Memory,LSTM)。

新增加的状态 c,称为单元状态。把 LSTM 按照时间维度展开:

可以看到在 t 时刻
- LSTM 的输入有三个:当前时刻网络的输入值 \(x_t\)、上一时刻 LSTM 的输出值 \(h_{t-1}\)、以及上一时刻的记忆单元向量 \(c_{t-1}\)。
- LSTM 的输出有两个:当前时刻的 LSTM 输出值 \(h_t\)、和当前时刻的记忆单元向量 \(c_t\)。
记忆单元 c 在 LSTM 层内部结束工作,不向其他层输出。LSTM 的输出仅有隐藏状态向量 h。
LSTM 的关键是单元状态,即贯穿图表顶部的水平线,有点像传送带。这一部分一般叫做单元状态(cell state

记忆单元状态的计算公式:\(公式1:c_{t}=f_{t} \odot c_{t-1}+i_{t} \odot g_t\)
遗忘门 ¶
\(f_t\) 叫做遗忘门,表示 \(C_{t-1}\) 的哪些特征被用于计算 \(C_t\)。\(f_t\) 是一个向量,向量的每个元素均位于 (0~1) 范围内。通常我们使用 sigmoid 作为激活函数,sigmoid 的输出是一个介于 (0~1) 区间内的值,但是当你观察一个训练好的 LSTM 时,你会发现门的值绝大多数都非常接近 0 或 1,其余的值少之又少。

遗忘门的计算公式:\(公式2:f_t=\sigma (x_tW_x^{(f)}+h_{h-1}W_h^{(f)}+b^{(f)})\)
输入门 ¶
\(\tilde{C}_t\) 表示单元状态更新值,有输入数据 \(x_t\) 和隐节点 \(h_{t-1}\) 经由一个神经网络层得到,单元状态更新值的激活函数通常使用 tanh。\(i_t\) 叫做输入门,同 \(f_t\) 一样也是一个元素介于 (0~1) 区间内的向量,同样由 \(x_t\) 和 \(h_{t-1}\) 经由 sigmoid 激活函数计算而成。

输入门和单元更新值的计算方式:
- \(公式3:i_t=\sigma (x_tW_x^{(i)}+h_{t-1}W_h^{i}+b^{(i)})\)
- \(公式4:g_t=tanh(x_tW_x^{(g)}+h_{t-1}W_h^{(g)}+b^{(g)})\)
输出门 ¶
最后,为了计算预测值 \(\hat{y}_t\) 和生成下个时间片完整的输入,我们需要计算隐节点的输出 \(h_t\)。

输出门和隐节点的计算公式
- \(公式5:o_t=\sigma (x_tW_x^{(o)}+h_{t-1}W_h^{(o)}+b^{(o)})\)
- \(公式6:h_t=o_t\odot tanh(c_t)\)
我们来看公式 2、3、4、5,都是型如 \(xW_x+hW_h+b\) 的格式,因此可以整合为通过一个式子进行,如下图所示:

4 个权重(或偏置)被整合为了 1 个。如此,原本单独执行 4 次的仿射变换通过 1 次计算即可完成,可以加快计算速度。这是因为矩阵库计算“大矩阵”时通常会更快,而且通过将权重整合到一起管理,源代码也会更简洁。
假设 \(W_x、W_h\) 和 \(b\) 分别包含 4 个权重(或偏置

import tensorflow as tf
from tensorflow.keras import layers
inputs = tf.random.normal((64, 6, 10))
LSTM_layer = layers.LSTM(units=20, return_sequences=True, return_state=True)
outputs, final_memory_state, final_carry_state = LSTM_layer(inputs)
print(outputs.shape, final_memory_state.shape, final_carry_state.shape)
# (64, 6, 20) (64, 20) (64, 20)
print(len(LSTM_layer.weights)) # 3
print(LSTM_layer.weights[0].shape) # Wx (10, 80)
print(LSTM_layer.weights[1].shape) # Wh (20, 80)
print(LSTM_layer.weights[2].shape) # bias (80,)
门控循环单元 GRU ¶
LSTM 的参数太多,计算需要很长时间。因此,最近业界又提出了 GRU(Gated RecurrentUnit,门控循环单元
相对于 LSTM 使用隐藏状态和记忆单元两条线,GRU 只使用隐藏状态。异同点如下:

GRU 的计算图如下所示。

GRU 计算图中,\(\sigma\) 节点和 tanh 节点有专用的权重,节点内部进行仿射变换(“1−”节点输入 x,输出 1 − x)
\(公式2.1:z=\sigma(x_t W_x^{(z)}+h_{t-1} W_h^{(z)}+b^{(z)})\)
\(公式2.2:r=\sigma(x_t W_x^{(r)}+h_{t-1} W_h^{(r)}+b^{(r)})\)
\(公式2.3:\tilde{h}=\tanh (x_t W_x+(r \odot h_{t-1}) W_h+b)\)
\(公式2.4:h_t=(1-z) \odot h_{t-1}+z \odot \tilde{h}\)
GRU 中进行的计算由上述 4 个式子表示(这里 \(x_t\) 和 \(h_{t−1}\) 都是行向量
- r(reset 门) 决定在多大程度上“忽略”过去的隐藏状态。根据公式 2.3,如果 r 是 0,则新的隐藏状态 \(\tilde{h}\) 仅取决于输入 \(x_t\)。也就是说,此时过去的隐藏状态将完全被忽略。
- z(update 门) 是更新隐藏状态的门,它扮演了 LSTM 的 forget 门和 input 门两个角色。公式 2.4 的 \((1-z) \odot h_{t-1}\) 部分充当 forget 门的功能,从过去的隐藏状态中删除应该被遗忘的信息。\(z \odot \tilde{h}\) 的部分充当 input 门的功能,对新增的信息进行加权。
创建日期: 2023年12月8日 17:49:04